OpenAI představuje modely o3 a o4-mini: Chytřejší umělá inteligence s vylepšenými schopnostmi uvažování
Společnost OpenAI v dubnu 2025 představila dva nové modely ze své „o-series“ řady: o3 a o4-mini. Tyto modely přinášejí zásadní vylepšení v oblasti umělé inteligence, zejména v oblastech, jako je logické uvažování, programování, matematika, věda a vizuální vnímání. Co přesně se změnilo a proč jsou tyto novinky důležité?
Hlavní změny a vylepšení
-
Výrazně lepší schopnosti v logickém uvažování a analýze
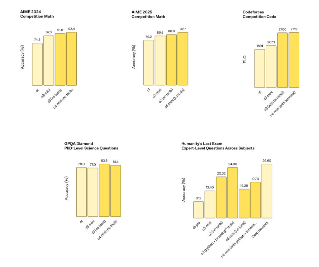
Model o3 je nyní vlajkovou lodí OpenAI pro úlohy vyžadující hluboké a víceúrovňové myšlení. Oproti předchozím generacím dělá o 20 % méně závažných chyb při řešení reálných úkolů. To znamená, že je spolehlivější například při složitých programátorských nebo vědeckých dotazech.
-
Multimodální schopnosti – práce s textem i obrazem
Oba modely, o3 i o4-mini, dokáží nejen „vidět“ obrázky, ale také s nimi aktivně pracovat v rámci svého vnitřního řetězce uvažování. To znamená, že umí analyzovat grafy, diagramy nebo fotografie a zapojit je do svých odpovědí stejně přirozeně jako text. Tato integrace posouvá možnosti AI v oblastech, kde je potřeba kombinovat vizuální a textové informace.
-
Efektivita a náklady
Zatímco o3 je určen pro nejnáročnější úkoly, o4-mini je optimalizován pro rychlost a nízké náklady. Přestože je menší a levnější (až 9x levnější na token než o3), dosahuje v mnoha úlohách téměř srovnatelné úrovně výkonu, zejména pokud může využívat nástroje jako Python interpretér. To z něj dělá ideální volbu pro firmy a vývojáře, kteří potřebují zpracovávat velké objemy dat nebo hledají cenově dostupné řešení.
-
Plná podpora nástrojů
Oba modely mají přístup k celé sadě nástrojů OpenAI – od Pythonu přes webové vyhledávání až po práci se soubory a obrázky. To znamená, že mohou nejen odpovídat na otázky, ale také provádět výpočty, analyzovat data nebo generovat vizuální výstupy.
Tyto modely dokážou přirozeně provádět operace jako ořezávání, přibližování a otáčení obrázků během jejich analýzy, což umožňuje více lidské porozumění vizuálnímu obsahu. Tato schopnost se ukazuje jako neuvěřitelně užitečná pro úkoly jako:
- Vysvětlování složitých diagramů nebo grafů
- Analýza snímků obrazovky kódu nebo chybových hlášek
- Interpretace vědeckých datových vizualizací
- Poskytování zpětné vazby k návrhům designu
Jak vysvětluje OpenAI: "Můžete nahrát fotografii sady ekonomických problémů a získat podrobná vysvětlení krok za krokem nebo sdílet snímek obrazovky chyby sestavení a rychle získat analýzu základní příčiny."

Praktické aplikace a dostupnost
Oba modely jsou nyní dostupné prostřednictvím ChatGPT a API OpenAI, i když s různými omezeními využití. Předplatitelé ChatGPT Plus, Team a Enterprise mohou přistupovat k o3 s týdenním limitem zpráv, zatímco o4-mini nabízí štědřejší denní limity. Pro vývojáře cenová struktura API odráží různé pozicování modelů. Model o3 stojí 10 $ za milion vstupních tokenů, což jej staví jako prémiovou nabídku pro komplexní úkoly. o4-mini poskytuje ekonomičtější alternativu za pouhých 1,10 $ za milion vstupních tokenů, s podstatně vyššími limity propustnosti.
Uživatelská zkušenost a limity
Uživatelé si pochvalují přirozenější konverzaci, lepší schopnost sledovat instrukce a vyšší užitečnost odpovědí. Oproti starším modelům jsou odpovědi méně náchylné k chybám a více reflektují předchozí konverzace. Na druhou stranu někteří uživatelé zaznamenali, že délka výstupů (například u generování dlouhých kódů) je někdy kratší než dříve. To může být daň za vyšší efektivitu a nižší náklady, zejména u modelu o4-mini.
Pro koho je který model určen?
o3: Nejlepší volba pro úlohy, kde je klíčová přesnost, hloubka analýzy a komplexní uvažování. Ideální pro programátory, analytiky nebo vědce.
o4-mini: Skvělý pro firmy a projekty, kde je potřeba rychle a levně zpracovat velké množství požadavků, aniž by se výrazně slevilo z kvality.
Na předváděcí video se můžete podívat zde.
