AI Baidu vsází na dostupnost: nové modely Ernie 4.5 Turbo a X1 Turbo s rekordními cenami
25. dubna 2025 představila společnost Baidu na konferenci Baidu Create v čínském Wuhanu dva nové AI modely: multimodální Ernie 4.5 Turbo a deduktivní Ernie X1 Turbo, čímž posílila své portfolio AI produktů. Podle tiskové zprávy PR Newswire je Ernie 4.5 Turbo nabízena za cenu pouze 20 % nákladů původního ERNIE 4.5, zatímco X1 Turbo stojí polovinu ceny svého předchůdce, což výrazně zlevňuje přístup k pokročilé AI pro vývojáře. Reuters konstatuje, že tento krok reaguje na rostoucí tlak domácích rivalů, jako jsou DeepSeek, Alibaba a ByteDance, a má za cíl udržet Baidu v čele čínského trhu AI. Bloomberg pak upozorňuje, že cena Ernie 4.5 Turbo byla oproti předchozí verzi snížena až o 80 %, čímž Baidu rozvíří “cenovou válku” v odvětví.
Hlavní rysy Ernie 4.5 Turbo
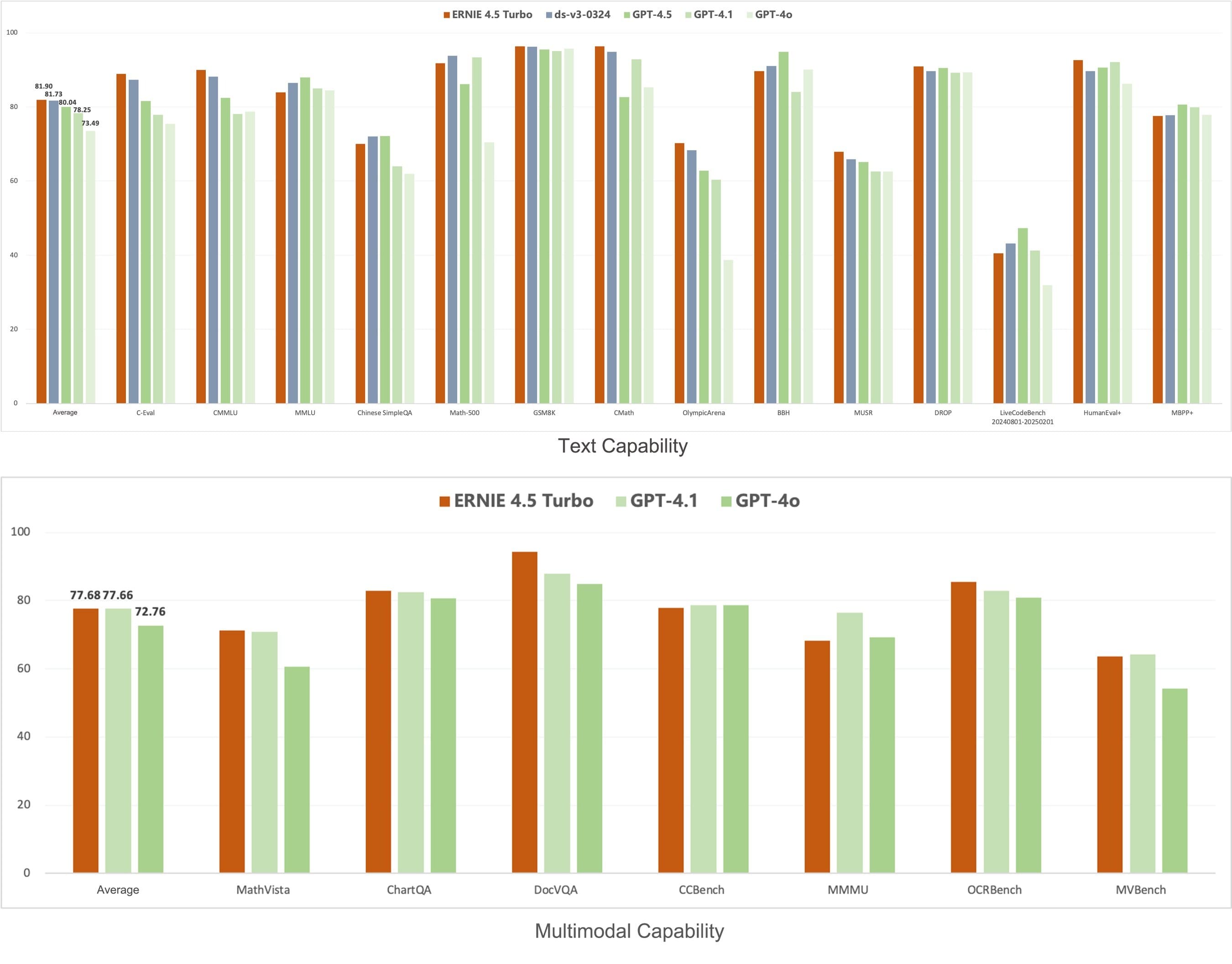
Ernie 4.5 Turbo poskytuje výrazně rychlejší odezvu, což usnadňuje nasazení v reálném čase a interaktivní aplikace. Podle Robina Liho tento model dosáhl v procodurovaných benchmarkových testech výsledků na úrovni nejlepších globálních modelů, přičemž exceloval v úlohách kódování i lingvistické analýzy. Díky ceně stanovené na 20 % hodnoty původního ERNIE 4.5 je nyní tento výkon dostupný i menším vývojářům a startupům.

Ernie X1 Turbo: rozšířené schopnosti dedukce
Ernie X1 Turbo představuje novou generaci deduktivního modelu, který je navržen pro komplikované úlohy vyžadující hluboké logické uvažování. Model přitom zachovává cenovou efektivitu – stojí pouze polovinu ceny svého předchůdce, což snižuje překážky pro adopci ve firemním sektoru.
Integrace do ekosystému a nástroje pro vývojáře
Současně s uvedením nových modelů Baidu představil i sadu nástrojů pro vývojáře, která zahrnuje tzv. AI Open Initiative umožňující snadný přístup k API a monetizační programy. Na konferenci také demonstroval aplikaci Xinxiang, multiagentní platformu podporující více než 200 typů úloh, která ilustruje praktické využití modelů v reálných scénářích. Do svých cloudových služeb navíc integroval Model Context Protocol (MCP), jenž zlepšuje kontextové porozumění a efektivitu nasazení AI modelů v podnikovém měřítku.
Konkurenční kontext
Tento krok přichází v době, kdy domácí rivalové jako DeepSeek, Alibaba a ByteDance investují značné prostředky do vlastních AI řešení a snaží se získat podíl na rostoucím trhu. Agresivní cenová politika, s 80% zlevněním Ernie 4.5 Turbo a poloviční cenou X1 Turbo, jasně odráží snahu Baidu získat výhodu “cenovou válkou”. Přesto nezůstanou žádné pochybnosti o kvalitě – podle interních benchmarků X1 Turbo překonává v několika klíčových úlohách i pokročilé verze DeepSeek.
Dopad na trh a budoucnost
Baidu se zavázal vychovat 10 milionů odborníků na AI během následujících pěti let, čímž posiluje svůj dlouhodobý ekosystém a dostupnost kvalifikované pracovní síly. Společnost rovněž vyhlásila třetí ročník soutěže ERNIE Cup s cenou 70 milionů čínských jüanů, aby motivovala vývojářskou komunitu k inovacím. Výzvy čínského prezidenta Xi Jinpinga k dosažení AI samoobsažnosti ještě umocňují politickou podporu domácího vývoje umělé inteligence.
Uvedení Ernie 4.5 Turbo a Ernie X1 Turbo s drastickými sníženími cen a bohatou sadou nástrojů pro vývojáře představuje klíčový milník v konkurenčním boji o vedoucí postavení v čínském AI sektoru. Jak se trh bude dál vyvíjet, strategie Baidu může významně ovlivnit standardy dostupnosti a výkonu AI technologií pro širokou komunitu uživatelů a firem.
